சிறிய விபத்திற்கு இத்தனை லட்சமா...? பில்லைக் கண்டு அதிர்ச்சியடைந்த சொகுசு காரின் உரிமையாளர்...!
விலையுயர்ந்த சொகுசு காரான ஜீப் காம்பஸ், மாருதி ஆல்டோ உடன் மோதியதில் மிகப் பெரிய சேதத்தைச் சந்தித்துள்ளது. அவ்வாறு, அந்த சொகுசு கார் சந்தித்த சேதம் மற்றும் செலவு குறித்த தகவலை இந்த பதிவில் காணலாம்.

ஜீப் நிறுவனத்தின் மிகவும் புகழ்வாய்ந்த எஸ்யூவி மாடலாக காம்பஸ் இருக்கின்றது. அமெரிக்காவை மையாகக் கொண்டு இயங்கும் இந்த நிறுவனத்தின், காம்பஸ் காருக்கு உலகம் முழுவதும் ரசிகர்கள் பட்டாளம் ஏராளம். அந்தவகையில், இந்தியாவில் உள்ள பல முக்கிய புள்ளிகள் மற்றும் பிரபலங்கள்கூட தங்களின் சொந்த பயன்பாட்டிற்காக இந்த காரைத்தான் பயன்படுத்தி வருகின்றனர்.

ஏன், சமீபத்தில்கூட இந்திய கடற்படை தளபதியான சுனில் லன்பா, தனது ஓய்வின் ஓரிரு வாரங்களுக்கு முன்பாக, ஆயுதமேந்திய வீரர்களுக்கான அரசு கேன்டீனில் ஜீப் காம்பஸ் காரை வாங்கியிருந்தார். இந்த கார் அந்த அளவிற்கு பாதுகாப்பும் சொகுசு நிறைந்த காராக இருந்து வருகிறது. இதன்காரணமாகவே, இந்தியர்கள் உட்பட பல செல்வந்தர்களிடம் இந்த கார் புகழ்வாய்ந்த மாடலாக இருந்து வருகின்றது.

ஆனால், இந்தியாவைச் சேர்ந்த தொழிலதிபர் ஒருவருக்கு இந்த கார் கடுமையான மன உளைச்சலையும், பொருட் செலவையும் ஏற்படுத்தியிருப்பதாக தகவல் வெளியாகியுள்ளது. அது எப்படி என கேட்கிறீர்களா...? அதைதான் நாம் இங்கு பார்க்கவிருக்கிறோம். இதுகுறித்த புகைப்படங்கள் மற்றும் தகவலை காடிவாடி ஆங்கில இணையதளம் வெளியிட்டுள்ளது.

விலையுயர்ந்த சொகுசு காரான ஜீப் காம்பஸை, மஹாராஷ்டிரா மாநிலத்தைச் சேர்ந்த தொழிலதிபர் கிருஷ்ணபிரசாத் கோபினாத் என்பவர், கடந்த பத்து மாதங்களுக்கு முன்பு வாங்கியுள்ளார். இவர், இந்த காரில் இதுவரை வெறும் 10 ஆயிரம் கிமீ வரை மட்டுமே பயணித்துள்ளார்.

இந்நிலையில், காம்பஸ் காரின் டீசல் பம்பில் லீக் ஏற்படுவதாக கூறி கிருஷ்ண பிரசாத், பினாக்கிள் ஜீப் கொச்சி என்ற டீலரிடம் சர்வீஸுக்காக விட்டுள்ளார். இது எப்போது நேர்ந்தது, எவ்வாறு நேர்ந்தது என்ற தகவல் அவருக்கு தெரியவில்லை எனக் கூறப்படுகிறது. ஆனால், சமீபத்தில் இவரின் காம்பஸ் கார், மலிவு விலை ஹேட்ச்பேக் ரக காரான மாருதி சுஸுகி நிறுவனத்தின் ஆல்டோ மீது மோதியதாக கூறப்படுகிறது.

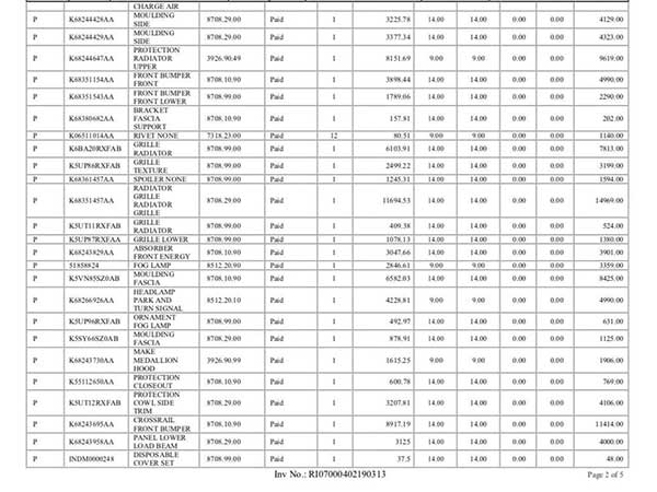
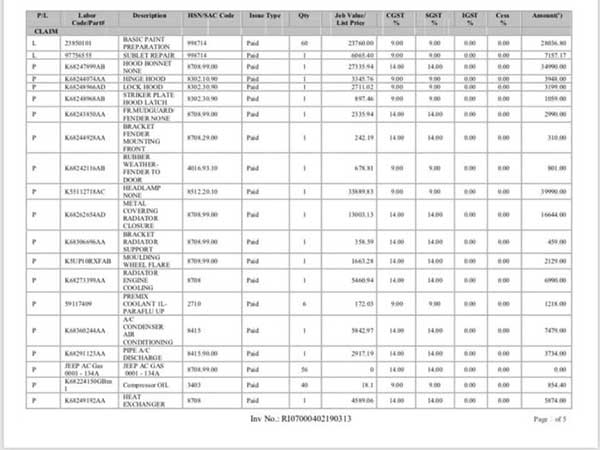
இந்த விபத்தின்போது, ஆல்டோ காருக்கு லேசான சேதமே ஏற்பட்டுள்ளது. அவ்வாறு, அந்த காரின் பின் பக்கத்தில் இருக்கும் மின் விளக்கு மட்டுமே சேதமடைந்துள்ளது. ஆனால், பாதுகாப்பிற்கு சிறந்த கார் என்று கூறப்படும், காம்பஸ் காருக்கோ பலத்த சேதமடைந்துள்ளது. அந்தவகையில், அந்த காரின் ஹெட்லேம்ப், க்ரில், பம்பர் மற்றும் ஃபென்டர் உள்ளிட்ட பல பகுதிகள் கடுமையான சேதத்தைச் சந்தித்துள்ளது.

இதனை சீர் செய்ய மட்டுமே, ஒட்டுமொத்தமாக ரூ. 2.76 லட்சம் வரை செலவு செய்துள்ளார். ஆனால், விபத்தின்போது சேதமடைந்த பொருட்களை இன்சூரன்ஸ் மூலம் சீர்செய்வது குறித்த எந்த தகவலும் டீலர் மற்றும் இன்சூரன்ஸ் நிறுவனத்திடமிருந்து கிடைக்கவில்லை என கூறப்படுகிறது. இதற்காக, காம்பஸ் நிறுவனத்தின், டீலர்களுக்கு பலமுறை மின்னஞ்சல் மூலம் எழுதியும் பலனளிக்கவில்லை என கிருஷ்ண பிரசாத் வேதனை தெரிவித்தார்.

இதனால், மன உளைச்சலைடந்த அவர், இதுகுறித்து அவரது பேஸ்புக் பக்கம் உள்ளிட்ட சமூக வலைதளப்பக்கத்தில், ஆதங்கத்தை வெளிப்படுத்தியுள்ளார். அவ்வாறு, "தான் விளம்பரங்களைக் கண்டு முட்டாளாகிவிட்டதாக" கூறி, காருக்கு செலவு செய்த விலைப் பட்டியலின் புகைப்படத்தை இணைத்துள்ளார். தற்போது, இந்த புகைப்படம் இணையத்தில் வைரலாகி வருகின்றது.

அதில், அதிகபட்சமாக அவர் ஹெட்லேம்பிற்காக ரூ. 40 ஆயிரமும், சாதாரண பெயிண்டிங்கிற்காக 28 ஆயிரம் ரூபாயும், புதிய பானட்டிற்காக ரூ. 35 ஆயிரமும், மெட்டல் கவரிங் ரேடியேட்டர் க்ளோஷருக்காக ரூ. 16,664-க்கும் செலவு செய்யப்பட்டுள்ளது. இவ்வாறு, மேலும், சில பாகங்கள் இந்த சிறிய விபத்தின் காரணமாக மாற்றப்பட்டுள்ளது. அவ்வாறு, கிட்டதட்ட ரூ. 2.76 லட்சம் அவர் செலவு செய்துள்ளார்.

ஏற்கனவே இதுபோன்ற பல்வேறு புகார்கள் காரணமாக, ஜீப் நிறுவனத்தின் கார் விற்பனை கணிசமாக குறைந்திருப்பதாக கூறப்படுகிறது. இந்த நிலையில், ஜீப் நிறுவனம், காம்பஸ் ட்ரெயிஸ்ஹாக் எனப்படும் புதிய எஸ்யூவி மாடலை இந்தியாவில் களமிறக்க இருப்பதாக தகவல் வெளியாகியுள்ளது.

இந்த புதிய எஸ்யூவி வருகின்ற ஜீலை மாதத்திற்குள் அறிமுகமாகலாம் என எதிர்பார்க்கப்படுகிறது. இந்த மாடலில் பிரத்யேக வசதியாக, முதல் முறையாக 9 ஸ்பீடு ஆட்டோமேடிக் கியர்பாக்ஸ் அறிமுகம் செய்யப்பட இருப்பதாக தகவல்கள் வெளியாகியுள்ளன.


Click it and Unblock the Notifications








